five people
“you are the average of the five people you spend the most time with.”
you’ve probably heard this before, but it’s not quite true.
let’s examine the idea through the anthroponautics lens.
just like Newtonian gravity, we can model the force of influence between two people like this:
F_I = G_I e^a_1 e^a_2 / s^2
where:
- F_I is the force of influence
- G_I is the Influence Constant
- a_1 and a_2 are the assigned values of the two people
- s is the social distance between them
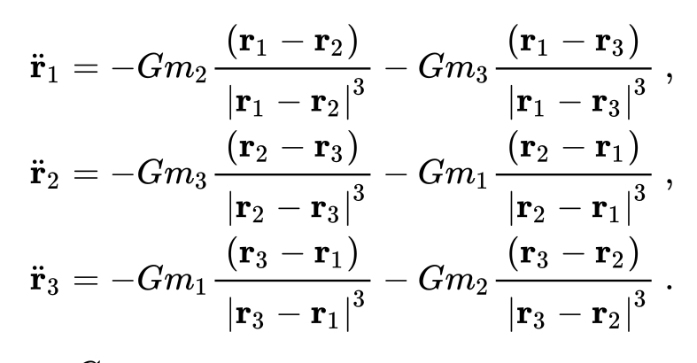
this works well for two bodies. but the moment you add a third?
things get chaotic. literally.
this is called the three-body problem in physics—interactions so complex they can’t be solved with a simple formula.

there are known solutions, but they’re rare, unstable, and usually require precision timing or symmetry. here’s a visual of twenty known solutions.
|
now imagine adding a fourth person. or a fifth. or fifty.
this is the n-body problem and how real influence works in human relationships.
you are not the average of five people.
you are the resultant of all the forces acting on you.
some people pull harder than others.
some push you off course.
some get closer. some fade away.
all of them matter.
this is why it’s so important to be deliberate in who you interact with. in-person, online, through your eyes and ears.
each one exerts influence. each one shifts your trajectory.
Colin
p.s. this weekend is your last chance to schedule one, two, or three hours with me. the offer expires tomorrow at midnight: https://www.anthroponautics.com/time-with-Colin
Anthroponautics Daily Digest
Daily insights on studying and applying anthroponautics.